Conclusions
From the network analysis, we learned the following:
- The network is roughly scale-free (good fit of power law to node degree distribution) and small-world (short characteristic path length)
- If we only look at positive edges, the network falls into two major clusters (plus additional smaller clusters) dominated by different phylogenetic groups
- If we look at the neighbors of the "pH" node, we see two anti-correlated clusters: one positively correlated with pH, the other negatively correlated with pH
From a biological point of view, the global network properties are not very informative.
However, the fact that the network falls into two major clusters of distinct phylogenetic composition
suggests that arctic soils may harbor two different microbial communities.
Alternative microbial communities have been observed in the
gut (also known as enterotypes)
and in the vagina.
The concept of alternative microbial communities is still debated,
since it is unclear whether communities are truly distinct or result from gradients.
We can reconcile both views if we allow for a certain extent of community overlap (fuzzy clusters).
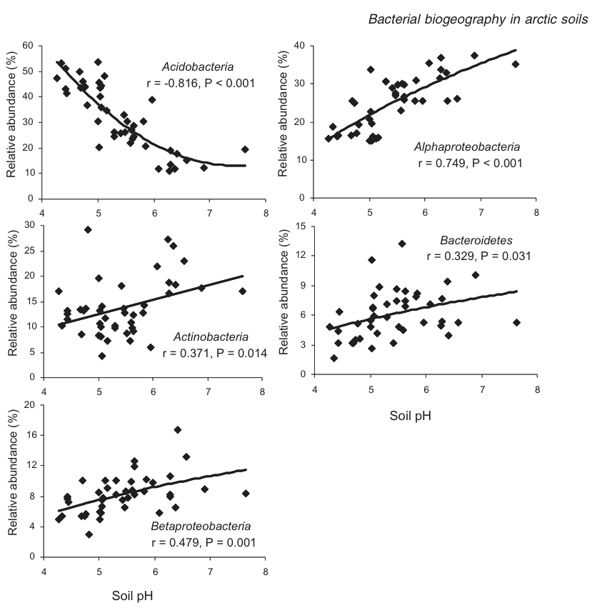
When exploring the neighborhood of the "pH" node,
we see that Solibacteres and Acidobacteria (class), which dominate one of the two major clusters detected
in the positive-edge-only network, form a cluster that is negatively correlated to pH, meaning that these OTUs prefer an acidic environment.
Likewise, we see that Chloracidobacteria and various Alphaproteobacteria, which are present in the second cluster of the
positive-edge-only network, are positively correlated to pH. Thus, these OTUs prefer a more basic environment.
We can conclude that the soil pH drives the alternative communities.
Our findings are in agreement with those in the
publication of the arctic soil data set:
However, we get additional information from the network, namely which OTUs and
higher-level taxonomic units (below phylum-level) in particular are strongly correlated/anti-correlated to pH.
For instance, Chloracidobacteria, a class within the Acidobacteria, are positively correlated with pH.
This is a biological finding not mentioned in the original publication, which tells us
something about the life style of Chloracidobacteria in arctic soil.
With the peculiar network structure in mind, we can now hazard a guess as to the community composition of future arctic tundra soil samples
for which the pH is known: for low pH, we expect that members of Solibacteres and Acidobacteriaceae dominate the sample,
whereas for higher pH, we expect to see various members of the Alphaproteobacteria and Chloracidobacteria.
Thus, network analysis helped improve our understanding of the microbial community structure in arctic soil.